正弦

  • 正弦-现代汉语大词典

    正弦zhèng xián

    【释义】:

    见“三角函数”。

  • 正弦定理-现代汉语大词典

    正弦定理zhèng xián dìng lǐ

    【释义】:

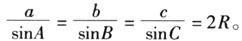
    三角形的三条边跟它们的对角的正弦之比相等。设三角形的三条边分别为a、b、c,它们的对角分别为A、B、C,外接圆半径为R,则有

版权声明:本文内容由互联网用户投稿及网络搜集,该文观点仅代表作者本人。本站仅提供信息存储空间服务,不拥有所有权,不承担相关法律责任。如发现本站有涉嫌抄袭侵权/违法违规的内容, 请联系QQ:37996619(同微信)举报,一经查实,本站将立刻删除。